Kent içi trafiğini rahatlatması beklenen ve bölgenin ulaşım altyapısını güçlendirecek olan Samsun Batı Çevre Yolu Projesi'nde önemli bir gelişme yaşandı. 10 Ekim 2025 tarihli Resmi Gazete'de yayımlanan 10471 Sayılı Cumhurbaşkanı Kararı ile projenin hayata geçirilmesi amacıyla kritik bir adım atıldı.
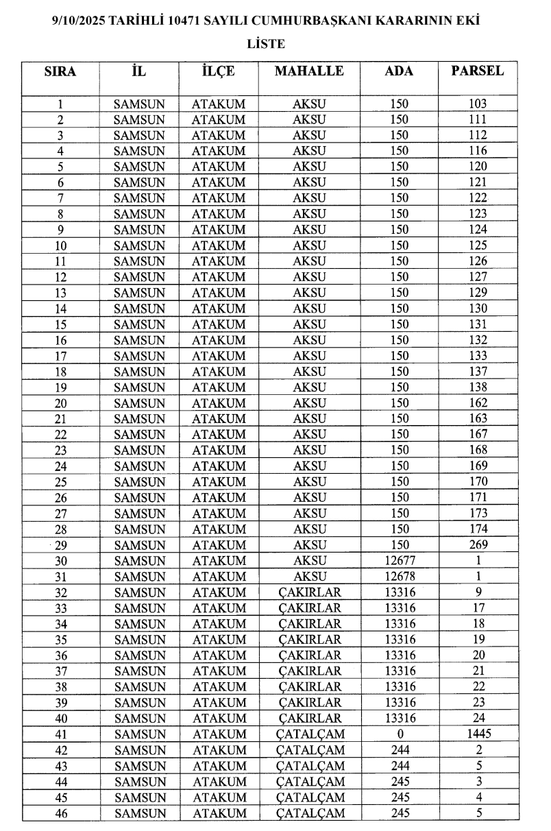
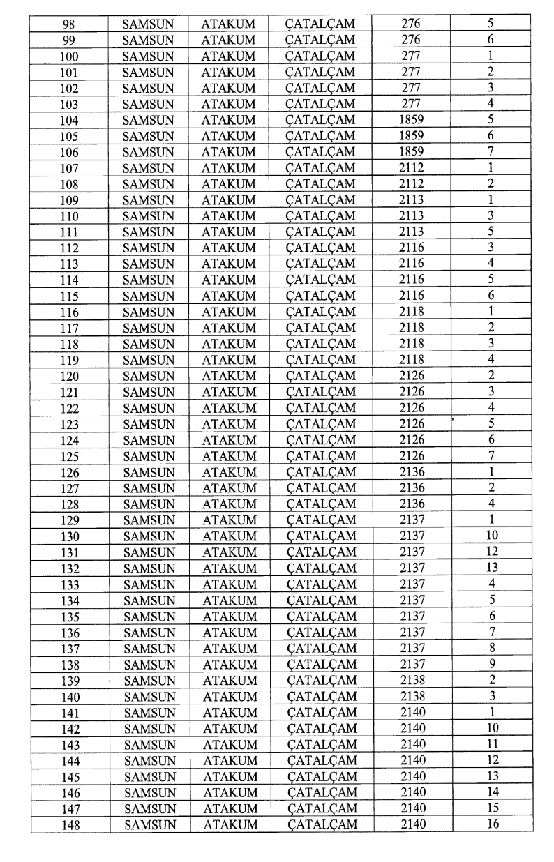
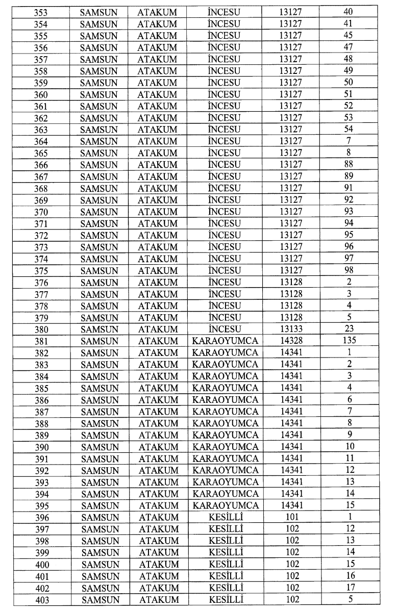
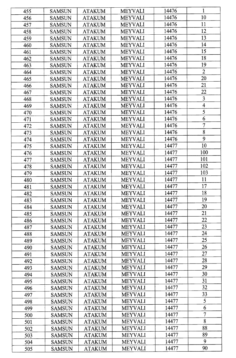
Karara göre, Samsun İli, Atakum İlçesi sınırları içerisinde proje güzergâhında bulunan ve ekli listede bilgileri yer alan taşınmazlar için acele kamulaştırma süreci resmen başlatıldı.
Samsun Büyükşehir Belediyesi Başkanlığı tarafından yürütülecek olan proje için verilen bu karar, 2942 sayılı Kamulaştırma Kanunu’nun 27. maddesine dayanıyor. "Acele kamulaştırma," projenin kamu yararı ve aciliyeti gözetilerek kamulaştırma işlemlerinin yasal süreçlerinin hızlandırılması anlamına geliyor. Bu durum, Batı Çevre Yolu'nun inşaat çalışmalarına başlama süresini önemli ölçüde öne çekecek.
Yetkililer, uzun süredir gündemde olan bu projenin tamamlanmasıyla birlikte özellikle Atakum ve merkez ilçelerdeki yoğun trafik yükünün hafifleyeceğini belirtiyor. Batı Çevre Yolu'nun, kentin batı aksındaki ulaşımı kesintisiz ve hızlı hale getirerek şehir içi hareketliliğe büyük katkı sağlaması hedefleniyor.
İşte kamulaştırma kararı gelen ada parseller:


















Yorumlar
Kalan Karakter: