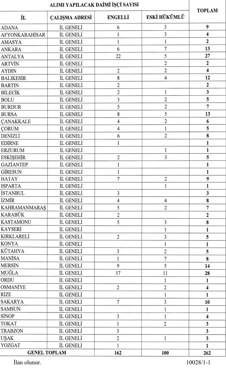
Tarım ve Orman Bakanlığı’na bağlı Orman Genel Müdürlüğü, farklı kadrolarda görevlendirilmek üzere 262 işçi istihdam edeceğini açıkladı. Yapılacak alımların 162’si engelli, 100’ü ise eski hükümlü veya terörle mücadelede malul sayılmayacak şekilde yaralanan adaylardan oluşacak.
Başvuru için Türk vatandaşı olmak, 18 yaşını doldurmuş bulunmak, kamusal haklardan mahrum olmamak ve emeklilik ya da malullük aylığı almıyor olmak şartları aranıyor. Ayrıca adayların İŞKUR’da yayımlanan ilanlarda belirtilen illerde ikamet etmeleri gerekiyor.
Engelli adaylar için bilgisayar işletmenliği, muhasebe, insan kaynakları veya halkla ilişkiler gibi alanlarda MEB onaylı sertifikalara ya da ilgili dersleri aldığını gösteren transkripte sahip olmak yeterli sayılacak. Eski hükümlü ve TMY statüsündeki başvurularda ise sağlık raporu ile 35 yaş sınırı dikkate alınacak. Başvurular 29 Eylül’den itibaren İŞKUR üzerinden kabul edilecek.

Yorumlar
Kalan Karakter: