Çevre, Şehircilik ve İklim Değişikliği Bakanlığı'nın Toplu Konut İdaresi Başkanlığı (TOKİ), İstanbul ve Ankara gibi çeşitli şehirlerde zaman zaman daire satışları gerçekleştiriyor. Dar gelirli vatandaşları da hedef alan konut projeleri, geniş bir kesimin ilgisini çekiyor. TOKİ'nin yaptığı duyurulara göre, birçok dairenin satışa sunulacağı bilgisi verildi.
TOKİ KONUT SATIŞLARI BAŞLADI
TOKİ, belirli aralıklarla konut ve arsa satışları düzenliyor. Yapılan güncel duyurulara göre, bazı illerde projelerin peş peşe açıklandığı görülüyor. Bu kapsamda Sivas Akıncılar, Kırıkkale Bahşılı ve Elazığ Yurtbaşı'nda konut satışları yapılacak. Kuralı satış yöntemiyle alıcılarına ulaşacak dairelerde farklı peşinat, vade ve taksit seçenekleri sunuluyor.
TOKİ’DEN YENİ KONUT SATIŞI
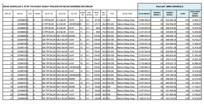
TOKİ, Sivas'ın Akıncılar ilçesinde 2. Etap kapsamında toplam 276 konut ve 21 adet 3 dükkanlı ticaret merkezi satışa sunacağını duyurdu.
Bu dairelerin 8'i 2+1, 13'ü ise 3+1 olarak planlandı. Sivas'ta satışa çıkacak konutların detayları şöyle:

Sivas'ta satışa sunulan taşınmazlarla ilgili bazı sözleşme detayları mevcut. Bu bilgiler ve diğer ayrıntılar aşağıda belirtilmiştir.


TOKİ, Kırıkkale'nin Bahşılı ilçesinde 5. Etap kapsamında 210 konut ve ticaret merkezi inşaatı ile birlikte 18 dairenin satışa sunulacağını açıkladı. Bu dairelerden 16'sı 2+1, 2'si ise 3+1 olarak tasarlandı. Kırıkkale'de satışa çıkarılacak dairelerin detayları aşağıda yer almaktadır.

Kırıkkale'de satılacak söz konusu taşınmazlarda bazı sözleşme şartları yer alıyor. Söz konusu şartlar ve diğer bilgiler aşağıda bulunuyor.


TOKİ, Elazığ ili Yurtbaşı ilçesi Hoğu Cumhuriyet Mahallesi 79 adet konut inşaatı kapsamında üretilecek 30 adet taşınmazın satışa çıkartılacağını duyurdu.
Satılacak taşınmazların hepsi (30 adet) 3+1 olarak belirtildi.
Elazığ'da satılacak dairelerden en uygunu; 192.647 TL peşinat, 240 ay vade ve 7.224 TL'den başlayan fiyatlarla alıcısını bulacak. Ayrıca 7.224 TL taksit ile satışa çıkartılacak taşınmaz zemin katta bulunuyor.
İşte Elazığ'da satılacak söz konusu taşınmazların listesi;

Elazığ'da satılacak taşınmazlarla ilgili bazı sözleşme detayları bulunuyor. Söz konusu detaylar ve diğer bilgiler aşağıda yer alıyor.



Yorumlar
Kalan Karakter: